成都医学院2025考研拟录取名单公示

2025/4/28 17:04:31 来源: 网络
分享:

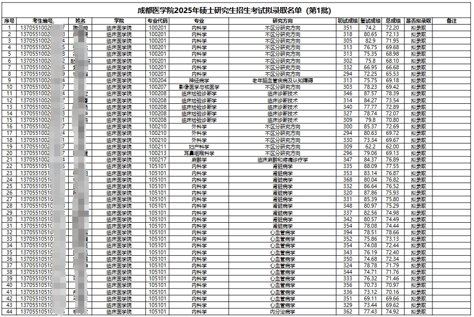
  成都医学院公布2025年硕士研究生招生拟录取名单公示,具体2025考研各专业录取分数、考研名额、复试分数等,和海天考研复试直通班指导老师一起看看吧,2026考研生记得收藏好,考研择校择专没烦恼,官网随时可能删除!

2.png

  请拟录取考生下载【体检表】,并在学院规定的时间内提交体检报告。

  下载详见:https://yjsy.cmc.edu.cn/info/1016/2304.htm

【海天考研2026考研课程】

现有课程.png

  基础不好或者想二战考研的同学可以考虑报班学习,怕不适应老师讲课节奏的,可以先先试听海天考研导学课程再报班。2026考研各题型思路、技巧讲解!真的别错过,提分是关键!想要逆袭985的同学不妨来了解一下~可以咨询【海天考研】了解更多▶2026考研特训营相关课程详情~现在报名,还有优惠福利,领大额优惠券噢!

中间广告图.jpg

活动专题